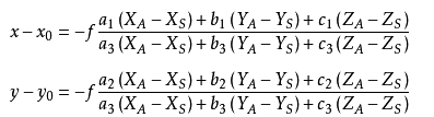
摄影测量学解析基础1.基础知识内方位元素:$x_0,y_0,f$。 外方位元素:$φ,ω,κ,X_S,Y_S,Z_S$。(φ为航向倾角,ω为旁向倾角,κ照片旋角) 共线方程:描述像空间坐标系与地面摄影坐标系关系的方程。 2.双向解析测量 后交-前交解法 相对定向-绝对定向 光束法 ← Previous Post Next Post → 为正常使用来必力评论功能请激活JavaScript 摄影测量学解析基础1.基础知识2.双向解析测量后交-前交解法相对定向-绝对定向光束法